Memahami Pendapatan Nasional: Contoh Soal dan Pembahasan Lengkap 2025-02-20 edukasi by admin Oke, siap! Berikut adalah konten artikel yang dioptimalkan berdasarkan permintaan Anda: `markdown Bingung dengan perhitu... Read More →
Membuat Puzzle Sendiri? Semudah Ini dengan Puzzle Maker! 2025-02-20 edukasi by admin Oke, berikut adalah konten artikel yang dioptimalkan SEO dengan fokus pada keyword "puzzle maker", disusun dengan format Markdown dan berbahasa Ind... Read More →
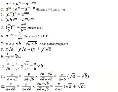
Contoh Soal Hukum Dasar Kimia: Pahami dan Kuasai! 2025-02-20 edukasi by admin Oke, siap! Berikut adalah konten artikel yang dioptimalkan SEO berdasarkan instruksi Anda. Preview: Bingung dengan hukum da... Read More →
Memahami Momentum Sudut: Konsep dan Contoh Soal 2025-02-20 edukasi by admin Preview: Apakah Anda kesulitan memahami konsep momentum sudut dan aplikasinya? Artikel ini akan membahas secara mendalam tentang <... Read More →
Memahami Stoikiometri: Kumpulan Contoh Soal dan Pembahasan Lengkap 2025-02-20 edukasi by admin Oke, berikut adalah konten artikel yang dioptimalkan berdasarkan instruksi yang diberikan, dengan fokus pada contoh soal stoikiometri Read More →
Contoh Soal Matematika Kelas 3 SD Semester 2: Siap Hadapi Ujian! 2025-02-20 edukasi by admin Oke, siap! Berikut adalah konten artikel tentang contoh soal matematika kelas 3 SD semester 2 yang dioptimalkan untuk SEO dan pembaca: Read More →
Memahami dan Menguasai Rumus Luas Permukaan Kerucut: Panduan Lengkap 2025-02-20 edukasi by admin Oke, siap! Berikut adalah konten artikel yang dioptimalkan untuk SEO dengan fokus pada kata kunci "rumus luas permukaan kerucut" dan disesuaikan de... Read More →
Contoh Soal Biografi: Tingkatkan Pemahamanmu dengan Latihan Ini! 2025-02-20 edukasi by admin Baik, berikut adalah konten artikel tentang contoh soal biografi, yang dioptimalkan untuk SEO dan pembaca, sesuai dengan instruksi... Read More →
Mimpi Mengerjakan Soal Ujian: Arti, Tafsir, dan Maknanya Bagi Hidup Anda 2025-02-20 Edukasi by admin Baik, berikut adalah artikel yang dioptimalkan berdasarkan instruksi yang Anda berikan: Pernahkah Anda terbangun dengan perasaan cemas setel... Read More →
Contoh Soal Tes Perangkat Desa: Panduan Lengkap dan Strategi Lolos 2025-02-20 edukasi by admin Oke, siap! Berikut adalah konten artikel yang dioptimalkan berdasarkan instruksi dan kata kunci yang diberikan: `markdown <... Read More →
Memahami Persamaan Garis Lurus: Panduan Lengkap untuk Pemula 2025-02-20 edukasi by admin Baik, berikut adalah konten artikel tentang persamaan garis lurus, dioptimalkan dengan SEO dan mengikuti semua instruksi yang Anda berikan: ... Read More →
Keagungan Alam Semesta: Memahami Kekuasaan Allah SWT melalui Ciptaan-Nya 2025-02-20 Edukasi by admin Baik, berikut adalah draf artikel yang dioptimalkan berdasarkan instruksi yang Anda berikan: Preview: Alam semesta yang lua... Read More →
Sukses Ujian Sekolah Kelas 9: Latihan Soal dan Tips Jitu! 2025-02-20 Edukasi by admin Baik, berikut adalah konten artikel yang Anda minta, dioptimalkan untuk SEO dan kemudahan dibaca, menggunakan bahasa Indonesia yang baik dan benar,... Read More →
Tribe Nine Anime: Mengupas Tuntas Pertarungan Baseball Ekstrim di Neo-Tokyo 2025-02-20 Anime by admin Baik, berikut adalah draf artikel tentang Tribe Nine Anime yang dioptimalkan untuk SEO, namun tetap fokus pada kualitas dan nilai bagi pem... Read More →
Dapatkan Hadiah Gratis: Daftar Code Redeem Free Fire Terbaru Hari Ini! 2025-02-20 Game by admin Baik, berikut adalah artikel yang dioptimalkan SEO tentang code redeem Free Fire, sesuai dengan instruksi yang Anda berikan: ... Read More →
Kumpulan Soal Ujian Sekolah SMP: Persiapan Terbaik Menuju Kesuksesan! 2025-02-20 Edukasi by admin Baik, berikut adalah draf artikel dengan format Markdown yang dioptimalkan untuk SEO berdasarkan instruksi yang diberikan: `mar... Read More →
Ujian Nasional 2025: Apa yang Perlu Anda Ketahui? 2025-02-20 Edukasi by admin Baik, berikut adalah draf artikel mengenai Ujian Nasional 2025 yang telah dioptimalkan untuk SEO dan pembaca, sesuai dengan instruksi yang diberika... Read More →
Memahami Contoh Soal PPh Pasal 21 dan Jawabannya: Panduan Lengkap dan Praktis 2025-02-20 edukasi by admin Oke, berikut adalah konten artikel yang dioptimalkan SEO berdasarkan instruksi yang Anda berikan: PPh Pasal 21 seringkali menjadi momok bagi... Read More →
Menjelajahi Luas Permukaan Kerucut: Rumus, Contoh, dan Aplikasi 2025-02-20 edukasi by admin Oke, mari kita buat konten artikel tentang luas permukaan kerucut yang dioptimalkan untuk SEO dan pembaca. `markdown Per... Read More →
Bioteknologi: Memahami Definisi dan Contoh Aplikasinya 2025-02-20 Tekno by admin Baik, berikut adalah konten artikel yang dioptimalkan SEO berdasarkan instruksi yang diberikan, dengan fokus pada kata kunci utama "yang termasuk b... Read More →
Aplikasi Mobile: Panduan Lengkap di Era Digital 2025-02-20 Tekno by admin `markdown Preview: Di era serba digital ini, aplikasi mobile telah menjadi bagian tak terpisa... Read More →
Kumpulan Contoh Soal OSN Informatika SMA dan Pembahasannya 2025-02-20 edukasi by admin Baik, berikut adalah konten artikel tentang contoh soal OSN Informatika SMA, yang dioptimalkan untuk SEO dan pembaca, dalam format... Read More →
Menguasai Satuan Panjang: Contoh Soal dan Jawaban Lengkap 2025-02-20 edukasi by admin Baik, mari kita buat artikel yang dioptimalkan SEO dengan fokus pada "contoh soal satuan panjang dan jawabannya". `markdown... Read More →
Contoh Soal Ekonomi dan Pembahasannya: Panduan Lengkap untuk Memahami Konsep Ekonomi 2025-02-20 edukasi by admin Oke, berikut adalah konten artikel yang dioptimalkan SEO berdasarkan instruksi yang Anda berikan. Preview: Bingung dengan s... Read More →
Aplikasi Nekopoi: Panduan Lengkap dan Pertimbangan Penting (2024) 2025-02-20 Tekno by admin Oke, berikut adalah draf artikel yang dioptimalkan berdasarkan instruksi yang Anda berikan, dengan fokus pada kata kunci "aplikasi nekopoi": Read More →
Asah Kemampuan Bahasa Inggris Si Kecil: Kumpulan Contoh Soal Bahasa Inggris Kelas 1 SD 2025-02-20 edukasi by admin Baik, berikut adalah artikel tentang contoh soal Bahasa Inggris kelas 1 SD, dioptimalkan untuk SEO dan pembaca: Ingin membantu si kecil mera... Read More →
Persiapan Matang Hadapi Ujian Sekolah: Panduan Lengkap untuk Sukses 2025-02-20 Edukasi by admin Oke, siap! Berikut adalah draft artikel tentang ujian sekolah, yang dioptimalkan untuk SEO dan ditulis dengan bahasa Indonesia yan... Read More →
Memahami Persamaan Garis Lurus Kelas 8: Contoh Soal dan Pembahasan Lengkap 2025-02-20 edukasi by admin Baik, berikut adalah artikel tentang contoh soal persamaan garis lurus kelas 8 yang dioptimalkan SEO dengan memperhatikan semua in... Read More →
Aplikasi Pintar: Memudahkan Hidup di Era Digital 2025-02-20 Tekno by admin Oke, berikut adalah draft artikel yang dioptimalkan untuk SEO dengan fokus pada kata kunci "aplikasi pintar", dengan mempertimbangkan semua instruk... Read More →
Persiapan Sukses Ujian Sekolah Matematika SMA: Kumpulan Soal dan Pembahasan Lengkap 2025-02-20 Edukasi by admin Oke, siap! Berikut adalah konten artikel yang dioptimalkan berdasarkan instruksi yang Anda berikan: `markdown Preview: S... Read More →
Memahami Simpangan Rata-Rata: Dilengkapi Contoh Soal dan Pembahasan 2025-02-20 edukasi by admin Oke, siap! Berikut adalah konten artikel yang dioptimalkan SEO berdasarkan instruksi yang Anda berikan, dengan fokus pada keyword "contoh soal simp... Read More →
Daftar Anime Reborn Codes Terbaru dan Cara Redeemnya! 2025-02-20 Anime by admin Oke, siap! Berikut adalah draf artikel yang dioptimalkan SEO dengan fokus pada kata kunci "anime reborn codes" dan sub-keyword terkait, disusun dal... Read More →
Memahami Hukum Perbandingan Berganda: Contoh Soal dan Pembahasan Lengkap 2025-02-20 edukasi by admin Baik, berikut adalah konten artikel yang dioptimalkan berdasarkan instruksi yang diberikan: Preview: Bingung dengan hukum perbanding... Read More →
Panduan Lengkap: Cara Mudah dan Aman Download Aplikasi OKX 2025-02-20 Tekno by admin Baik, berikut adalah draf artikel yang dioptimalkan berdasarkan permintaan Anda. `markdown Preview Konten: Ingi... Read More →
Kumpulan Soal Ujian Bahasa Indonesia Kelas 2 Semester 2: Latihan dan Tips Sukses 2025-02-20 Edukasi by admin Baik, berikut adalah artikel tentang soal ujian Bahasa Indonesia kelas 2 semester 2 yang dioptimalkan untuk SEO dan mudah dibaca: Ingin anak... Read More →
Menguasai Logaritma: Contoh Soal Logaritma Kelas 10 dan Pembahasannya 2025-02-20 edukasi by admin Oke, siap! Berikut adalah konten artikel yang dioptimalkan sesuai dengan instruksi Anda: Preview Konten: Bingung dengan log... Read More →
Charlotte Anime: Kekuatan Supernatural dan Drama Masa Muda yang Menegangkan 2025-02-20 Anime by admin Berikut adalah konten artikel tentang Charlotte anime, dioptimalkan untuk SEO dan pembaca: Preview: Pernahkah kamu membayan... Read More →
Cara Mudah Download Video YouTube Tanpa Aplikasi: Cepat dan Praktis! 2025-02-20 Tekno by admin Oke, siap! Berikut adalah konten artikel yang dioptimalkan sesuai dengan instruksi dan kata kunci yang diberikan: (Preview Konten: Ingin Read More →
Panduan Lengkap: Menguasai Soal Essay dan Teknik Menjawabnya 2025-02-20 edukasi by admin Oke, siap! Berikut adalah draft konten artikel tentang soal essay, dioptimalkan untuk SEO dan readability, sesuai dengan instruksi yang diberikan.<... Read More →
Latihan Soal Ujian Sekolah Kelas 9 Matematika: Raih Nilai Terbaikmu! 2025-02-20 Edukasi by admin Baik, berikut adalah artikel yang dioptimalkan SEO tentang soal ujian sekolah kelas 9 matematika, dengan memperhatikan semua instr... Read More →
Anime Reborn Code: Fenomena Isekai RPG yang Wajib Ditonton 2025-02-20 Anime by admin Baik, berikut adalah draf artikel tentang anime Reborn Code yang dioptimalkan untuk SEO dan pembaca, sesuai dengan instruksi yang Anda berikan:... Read More →
Mengintip Dunia Foto Anime Girl: Estetika, Tren, dan Inspirasi Visual 2025-02-20 Anime by admin Baik, berikut adalah konten artikel tentang "foto anime girl" yang dioptimalkan berdasarkan instruksi yang Anda berikan: Preview: Read More →
5 Aplikasi Edit Foto di HP Terbaik untuk Hasil Profesional 2025-02-20 Tekno by admin Baik, berikut adalah konten artikel yang dioptimalkan sesuai dengan instruksi yang diberikan: Preview Konten: Bingung memil... Read More →
Contoh Soal Karya Ilmiah dan Kunci Jawaban: Panduan Lengkap untuk Memahami Materi 2025-02-20 edukasi by admin `markdown Memahami karya ilmiah seringkali menjadi tantangan tersendiri. Namun, dengan latihan dan pemahaman k... Read More →
Download Video YouTube ke Galeri HP Tanpa Aplikasi: Semudah Ini! 2025-02-20 Tekno by admin Baik, inilah konten artikel yang dioptimalkan berdasarkan instruksi Anda: Ingin menyimpan video favorit dari YouTube langsung ke galeri HP t... Read More →
Latihan Soal Ujian Sekolah Kelas 12 Matematika: Persiapan Optimal Menuju Kelulusan! 2025-02-20 Edukasi by admin Oke, berikut adalah konten artikel yang dioptimalkan berdasarkan permintaan Anda: `markdown Preview: Si... Read More →
Panduan Lengkap Menghadapi Soal Ujian PPPK Teknis: Strategi dan Contoh Soal 2025-02-20 Edukasi by admin Siap menghadapi soal ujian PPPK Teknis? Artikel ini adalah panduan lengkap yang akan membantu Anda mempersiapkan diri. Kami akan m... Read More →
Contoh Majas Personifikasi: Menghidupkan Benda Mati dalam Kata 2025-02-20 edukasi by admin Oke, berikut adalah draf artikel tentang contoh majas personifikasi dengan memperhatikan semua instruksi yang diberikan: Read More →
Contoh Soal Persamaan Lingkaran dan Pembahasannya: Lengkap dan Mudah Dipahami 2025-02-20 edukasi by admin Oke, berikut adalah konten artikel yang dioptimalkan berdasarkan instruksi yang diberikan: Preview: Bingung dengan persamaa... Read More →
Menguasai Puisi: Contoh Soal dan Pembahasan Lengkap 2025-02-20 edukasi by admin Baik, berikut adalah konten artikel tentang contoh soal puisi yang dioptimalkan SEO, ditulis dalam bahasa Indonesia yang baik dan benar, serta meng... Read More →
Sakamoto Days: Mengupas Tuntas Manga Aksi Komedi yang Sedang Naik Daun! 2025-02-20 Anime by admin Oke, siap! Berikut adalah draf artikel tentang Sakamoto Days dengan optimasi SEO dan struktur yang Anda minta: Preview konten: Mari... Read More →
Bedah Tuntas: Kumpulan Contoh Soal UTBK 2024 dan Tips Lolos! 2025-02-20 edukasi by admin Oke, siap! Berikut adalah konten artikel tentang contoh soal UTBK 2024, dioptimalkan untuk SEO dan dengan gaya penulisan yang mena... Read More →
Memahami Hukum Kekekalan Energi dengan Contoh Soal Lengkap 2025-02-20 edukasi by admin Baik, berikut adalah konten artikel yang dioptimalkan berdasarkan instruksi yang Anda berikan, dengan fokus pada contoh soal hukum kekekala... Read More →
Siap Hadapi Ujian Sekolah Bahasa Inggris Kelas 9? Unduh PDF Soal Latihan! 2025-02-20 Edukasi by admin Oke, berikut adalah konten artikel yang dioptimalkan berdasarkan instruksi yang Anda berikan, dengan fokus pada kata kunci utama "soal ujian sekola... Read More →
Panduan Lengkap Membuat Kop Soal Ujian yang Profesional dan Efektif 2025-02-20 Edukasi by admin Oke, berikut adalah draf artikel tentang kop soal ujian yang dioptimalkan SEO sesuai dengan instruksi Anda: `m... Read More →
Contoh Perilaku yang Menunjukkan Iman kepada Malaikat Munkar dan Nakir 2025-02-20 Edukasi by admin Baik, berikut adalah draf artikel yang dioptimalkan SEO dan berfokus pada contoh perilaku yang menunjukkan iman kepada malaikat Munkar ... Read More →
Doa Agar Bisa Mengerjakan Soal Ujian Dengan Benar: Raih Kesuksesan dengan Restu Ilahi 2025-02-20 Edukasi by admin Oke, berikut adalah konten artikel yang dioptimalkan untuk SEO berdasarkan instruksi yang diberikan: `markdown Menghadap... Read More →
Menguasai Pemfaktoran: Contoh Soal dan Pembahasan Lengkap 2025-02-20 edukasi by admin Oke, berikut adalah konten artikel tentang contoh soal pemfaktoran, dioptimalkan untuk SEO dan kemudahan pemahaman, sesuai dengan instruksi yang An... Read More →
Contoh Soal Ujian Perangkat Desa Terlengkap dan Pembahasannya 2025-02-20 Edukasi by admin Oke, siap! Berikut adalah konten artikel tentang contoh soal ujian perangkat desa, dioptimalkan untuk SEO dan mudah dibaca: Bingung ... Read More →
Mudah dan Cepat: Cara Konversi PDF ke Word Online Gratis 2025-02-20 Edukasi by admin Baik, berikut adalah konten artikel yang dioptimalkan sesuai dengan instruksi yang Anda berikan: Preview: Ingin mengedit file PDF tapi hanya... Read More →
Aplikasi IKD: Identitas Kependudukan Digital di Genggaman Anda 2025-02-20 Tekno by admin Baik, mari kita buat konten yang dioptimalkan SEO tentang aplikasi IKD dengan mengikuti semua instruksi yang telah diberikan. ... Read More →
Aplikasi Edit Foto Terbaik 2024: Ubah Foto Biasa Jadi Luar Biasa! 2025-02-20 Tekno by admin Oke, berikut adalah draf artikel tentang aplikasi edit foto terbaik yang dioptimalkan berdasarkan instruksi Anda: `markdown... Read More →
Sukses Ujian Madrasah Bahasa Inggris Kelas 12: Panduan Lengkap dan Contoh Soal 2025-02-20 Edukasi by admin Baik, berikut adalah konten artikel yang dioptimalkan berdasarkan instruksi yang Anda berikan: Persiapkan diri Anda dengan maksimal menghada... Read More →
Cara Download Snack Video Tanpa Watermark Tanpa Aplikasi: Panduan Lengkap 2025-02-20 Tekno by admin Baik, berikut adalah konten artikel yang dioptimalkan berdasarkan permintaan Anda: `markdown Seringkali kita menemukan v... Read More →
Vaksin Sebagai Produk Bioteknologi: Mengapa Demikian? 2025-02-20 Tekno by admin `markdown Preview: Vaksin merupakan salah satu kemajuan bioteknologi paling signifikan dalam ... Read More →
Latihan Soal IPAS Kelas 6: Siap Hadapi Ujian dengan Sukses! 2025-02-20 Edukasi by admin Oke, berikut adalah konten artikel yang dioptimalkan SEO berdasarkan instruksi dan kata kunci yang diberikan: Preview Konten: Read More →
Cara Mudah Download Dokumen Scribd: Panduan Lengkap 2024 2025-02-20 Edukasi by admin Oke, siap! Berikut adalah konten artikel yang dioptimalkan untuk kata kunci "downloader Scribd" dengan mengikuti semua instruksi yang Anda berikan:... Read More →
Aplikasi Film Terbaik: Nonton Film dan Streaming Jadi Lebih Mudah! 2025-02-20 Tekno by admin Baik, berikut adalah konten artikel yang dioptimalkan sesuai dengan instruksi yang diberikan: Preview Konten: Bingung cari ... Read More →
Kumpulan Soal Ujian IPA Kelas 6: Persiapan Terbaik untuk Ujianmu! 2025-02-20 Edukasi by admin Oke, mari kita buat konten artikel tentang soal ujian IPA kelas 6 dengan mengikuti semua panduan di atas. Preview K... Read More →
Cara Mendapatkan Diamond Free Fire Gratis: Mitos atau Realita? 2025-02-20 Game by admin Baik, berikut adalah draf konten artikel yang dioptimalkan SEO sesuai dengan instruksi yang diberikan. Preview: Siapa yang ... Read More →
Contoh Soal Kalor Kelas 11: Panduan Lengkap dan Pembahasan 2025-02-20 edukasi by admin Baik, berikut adalah konten artikel yang dioptimalkan SEO dengan bahasa Indonesia berdasarkan instruksi yang diberikan: Preview: Read More →
Memahami Torsi Lebih Dalam: Contoh Soal dan Pembahasannya 2025-02-20 edukasi by admin Oke, siap! Berikut adalah konten artikel tentang contoh soal torsi yang dioptimalkan untuk SEO dan pembaca: `markdown Read More →
Business Proposal: Fenomena Drama Korea dan Jumlah Penonton yang Mencengangkan 2025-02-20 Game by admin Oke, siap! Berikut adalah konten artikel tentang jumlah penonton film Business Proposal, dioptimalkan untuk SEO dan pembaca, serta disajik... Read More →
Kode Redeem FF Max Terbaru Hari Ini: Dapatkan Hadiah Eksklusif! 2025-02-20 Game by admin Baik, berikut adalah konten artikel yang dioptimalkan untuk SEO dengan fokus pada kata kunci "kode redeem FF Max", disusun dalam format Markdown da... Read More →
Contoh Soal Esai: Panduan Lengkap dan Terstruktur untuk Sukses! 2025-02-20 edukasi by admin Oke, siap! Berikut adalah konten artikel yang dioptimalkan berdasarkan instruksi yang Anda berikan: Preview: Apakah Anda se... Read More →
Memahami Inflasi Lebih Dalam: Contoh Soal dan Pembahasannya 2025-02-20 edukasi by admin Baik, berikut adalah artikel tentang contoh soal inflasi yang telah dioptimalkan SEO, mudah dibaca, dan informatif, sesuai dengan permintaan Anda:<... Read More →
Contoh Soal OSN Biologi SMA: Persiapan Sukses Olimpiade Sains 2025-02-20 edukasi by admin Baik, berikut adalah artikel tentang contoh soal OSN Biologi SMA yang dioptimalkan untuk SEO dan kemudahan dibaca, sesuai dengan i... Read More →
Memahami Grafik Fungsi Kuadrat: Panduan Lengkap 2025-02-20 edukasi by admin Oke, berikut adalah konten artikel tentang grafik fungsi kuadrat yang dioptimalkan untuk SEO dan pembaca, dengan struktur markdown, bahasa Indonesi... Read More →
Aplikasi Autentikasi: Tingkatkan Keamanan Akun Anda dengan Mudah 2025-02-20 Tekno by admin Oke, berikut adalah konten artikel yang dioptimalkan SEO berdasarkan instruksi dan kata kunci yang Anda berikan: Preview: D... Read More →
Memahami Dimensi Tiga: Kumpulan Contoh Soal dan Pembahasan Lengkap 2025-02-20 edukasi by admin Baik, berikut adalah konten artikel yang dioptimalkan SEO sesuai dengan instruksi yang diberikan: Preview: Bingung dengan soal-soal dimensi ... Read More →
Contoh Soal Indeks Harga: Panduan Lengkap dengan Pembahasan 2025-02-20 edukasi by admin Oke, siap! Berikut adalah konten artikel yang kamu minta, dioptimalkan untuk SEO dan pembaca, dengan fokus pada contoh soal indeks harga:<... Read More →
Contoh Soal Aturan Penjumlahan: Panduan Lengkap dengan Pembahasan 2025-02-20 edukasi by admin Baik, berikut adalah konten artikel yang dioptimalkan SEO dengan fokus pada kata kunci "contoh soal aturan penjumlahan", disusun sesuai dengan inst... Read More →
Menguasai Narrative Text: Contoh Soal dan Pembahasan Lengkap 2025-02-20 edukasi by admin Oke, siap! Berikut adalah konten artikel yang dioptimalkan dengan mempertimbangkan semua instruksi yang Anda berikan: Preview: Read More →
One Piece Anime: Kisah Bajak Laut yang Tak Lekang Waktu 2025-02-20 Anime by admin Oke, berikut adalah konten artikel yang dioptimalkan SEO sesuai dengan panduan yang Anda berikan: Judul: One Piece Anime: K... Read More →
KTP Digital: Identitas di Genggaman, Cara Mudah Mengaktifkannya! 2025-02-20 Tekno by admin Baik, berikut adalah draf artikel tentang aplikasi KTP digital, dioptimalkan untuk SEO dan mudah dibaca, sesuai dengan instruksi A... Read More →
Mengungkap Magis Kemenag: Lebih dari Sekadar Administrasi Agama 2025-02-20 Tekno by admin Baik, berikut adalah konten artikel yang dioptimalkan berdasarkan instruksi dan kata kunci yang diberikan: `markdown Read More →
Mengungkap Magis Kemenag: Lebih dari Sekadar Administrasi Agama 2025-02-20 Tekno by admin Baik, berikut adalah draf artikel yang dioptimalkan berdasarkan instruksi yang Anda berikan, dengan fokus pada "magis kemenag": Prev... Read More →
Alice in Borderland Anime: Ulasan Mendalam dan Alasan Mengapa Harus Ditonton! 2025-02-20 Anime by admin Oke, siap! Berikut adalah draft artikel tentang Alice in Borderland Anime yang telah dioptimasi sesuai dengan instruksi Anda: Preview Konten... Read More →
Memahami Sex Ratio: Definisi dan Contoh Soal Lengkap 2025-02-20 edukasi by admin Baik, mari kita buat konten artikel tentang contoh soal sex ratio dengan panduan yang telah Anda berikan. ... Read More →
Rekomendasi Anime Terbaik: Temukan Tontonan Seru Berikutnya! 2025-02-20 Anime by admin Oke, siap! Berikut adalah konten artikel tentang rekomendasi anime yang dioptimalkan sesuai dengan instruksi yang diberikan: `m... Read More →
Memahami Bunga Tunggal: Contoh Soal dan Pembahasannya 2025-02-20 edukasi by admin Oke, siap! Berikut adalah konten artikel tentang contoh soal bunga tunggal, disusun dengan optimasi SEO dan fokus pada kualitas un... Read More →
Cara Mudah dan Aman Download File Scribd: Panduan Lengkap 2024 2025-02-20 Edukasi by admin Baik, berikut adalah konten artikel yang dioptimalkan SEO berdasarkan permintaan Anda: Preview: Ingin mengakses dokumen pen... Read More →
Contoh Soal Bhinneka Tunggal Ika Kelas 10: Pemahaman dan Penerapannya 2025-02-20 edukasi by admin `markdown Preview Konten: Apakah kamu siswa kelas 10 yang sedang mempelajari Bhinneka Tunggal Ika? Artikel ini... Read More →
Kumpulan Contoh Soal Barisan dan Deret: Panduan Lengkap + Pembahasan! 2025-02-20 edukasi by admin Baik, berikut adalah konten artikel yang dioptimalkan SEO tentang contoh soal barisan dan deret dengan struktur dan elemen yang An... Read More →
Menguasai Dinamika Rotasi: Kumpulan Contoh Soal dan Pembahasannya 2025-02-20 edukasi by admin Oke, berikut adalah draft artikel tentang contoh soal dinamika rotasi, yang dioptimalkan untuk SEO dan pembaca: `markdown <... Read More →
Menguasai Larutan Penyangga: Kumpulan Contoh Soal dan Pembahasan Lengkap 2025-02-20 edukasi by admin Oke, siap! Berikut adalah konten artikel tentang contoh soal larutan penyangga, dioptimalkan untuk SEO dan mudah dibaca, sesuai dengan instruksi ya... Read More →
Memahami Teks Negosiasi: Contoh Soal Essay dan Pembahasannya 2025-02-20 edukasi by admin Baik, berikut adalah konten artikel yang dioptimalkan SEO berdasarkan instruksi yang diberikan. Preview: Ingin memahami leb... Read More →
Contoh Soal Report Text: Pahami Struktur dan Aplikasinya 2025-02-20 edukasi by admin Oke, berikut adalah draf konten artikel tentang contoh soal report text yang dioptimalkan SEO dengan mempertimbangkan semua instruksi yang Anda ber... Read More →
Reaksi Kimia di Balik Kelezatan Tapai: Fermentasi yang Mengagumkan 2025-02-20 Tekno by admin Baik, berikut adalah konten artikel yang dioptimasi berdasarkan instruksi yang Anda berikan: `markdown Tapai, makanan fe... Read More →
Memahami Rumus Gaya dan Contoh Soal: Panduan Lengkap 2025-02-20 edukasi by admin Oke, siap! Berikut adalah artikel tentang rumus gaya dan contoh soal, dioptimalkan sesuai dengan instruksi Anda: `markdown ... Read More →
Menaklukkan Luas Permukaan Limas: Contoh Soal dan Pembahasan Lengkap 2025-02-20 edukasi by admin Baik, berikut adalah draf artikel tentang contoh soal luas permukaan limas yang dioptimalkan SEO dan disesuaikan dengan instruksi yang Anda berikan... Read More →
Menguasai Katrol: Pembahasan Contoh Soal Lengkap dan Mudah Dipahami 2025-02-20 edukasi by admin Oke, berikut adalah draf artikel tentang contoh soal katrol dengan optimasi SEO sesuai dengan instruksi yang diberikan: `markdo... Read More →
Mengenal Lebih Dalam Bangun Datar: Jenis, Sifat, dan Rumusnya 2025-02-20 edukasi by admin Oke, siap! Berikut adalah konten artikel tentang bangun datar yang dioptimalkan untuk SEO, dengan memperhatikan semua instruksi yang Anda berikan:<... Read More →
Ubah Desktopmu Jadi Lebih Hidup dengan Lively Wallpaper! 2025-02-20 Anime by admin Oke, berikut adalah konten artikel yang dioptimalkan berdasarkan instruksi yang Anda berikan: `markdown Bosan dengan tam... Read More →
Memahami Perangkat Lunak: Panduan Lengkap untuk Pemula hingga Profesional 2025-02-20 Tekno by admin Oke, berikut adalah konten artikel yang dioptimalkan dengan mempertimbangkan semua instruksi yang diberikan: Preview: Di er... Read More →
Memahami Prinsip pada Bioteknologi Industri: Kunci Inovasi Masa Depan 2025-02-20 Tekno by admin Baik, berikut adalah konten artikel yang dioptimalkan berdasarkan instruksi yang diberikan: `markdown Preview: Read More →
Latihan Soal PKN Kelas 4 Semester 2 Kurikulum Merdeka: Siap Hadapi Ujian! 2025-02-20 edukasi by admin Oke, siap! Berikut adalah konten artikel yang dioptimalkan dengan format Markdown, sesuai dengan instruksi yang Anda berikan: `... Read More →
Mengenal Sifat-Sifat Malaikat: Makhluk Allah yang Taat dan Mulia 2025-02-20 Edukasi by admin Baik, mari kita buat artikel yang dioptimalkan SEO dengan panduan yang telah diberikan: Preview: Malaikat adalah makhluk ciptaan Allah SWT y... Read More →
Mengungkap Fungsi untuk Mengambil Karakter Kedua atau Lebih pada Sebuah Data 2025-02-20 Tekno by admin Oke, berikut adalah konten artikel yang dioptimalkan berdasarkan instruksi yang Anda berikan: Preview: Pernahkah Anda berta... Read More →
Apa Itu Aplikasi Pi Network: Panduan Lengkap dan Masa Depannya 2025-02-20 Tekno by admin Oke, siap! Berikut adalah artikel yang dioptimalkan dengan mempertimbangkan semua instruksi yang Anda berikan: `markdown Read More →
Contoh Soal Klasifikasi Makhluk Hidup Kelas 7: Belajar Asyik, Nilai Apik! 2025-02-20 edukasi by admin Baik, berikut adalah konten artikel yang dioptimalkan dengan bahasa Indonesia, berdasarkan instruksi yang Anda berikan: Yuk, kuasai materi k... Read More →
Cara Mudah dan Aman Scribd Download: Panduan Lengkap 2024 2025-02-20 Edukasi by admin Baik, berikut adalah konten artikel yang dioptimalkan untuk kata kunci "scribd download" sesuai dengan instruksi yang diberikan. Pre... Read More →
Cara Mudah Download MP3 dari YouTube Tanpa Aplikasi: Panduan Lengkap 2025-02-20 Tekno by admin Baik, berikut adalah konten artikel yang Anda minta, dioptimalkan untuk SEO dan ramah pembaca: Preview: Ingin mendengarkan ... Read More →
Memahami Kaidah Pencacahan Aturan Perkalian: Contoh Soal dan Pembahasannya 2025-02-20 edukasi by admin Oke, berikut adalah konten artikel yang dioptimalkan berdasarkan instruksi yang diberikan: Preview: Bingung dengan kaidah pencacahan... Read More →
Contoh Soal Elastisitas: Panduan Lengkap dan Pembahasan Detail 2025-02-20 edukasi by admin Oke, siap! Berikut adalah konten artikel yang Anda minta, dioptimalkan untuk SEO, mudah dibaca, dan informatif: Ingin memahami konsep elasti... Read More →
Kurama Anime: Sejarah, Kekuatan, dan Momen Ikonik Si Rubah Ekor Sembilan 2025-02-20 Anime by admin Oke, ini dia konten artikel yang dioptimalkan dengan kata kunci "kurama anime" sesuai dengan instruksi yang diberikan: `markdow... Read More →
Aplikasi Pengolah Kata Terbaik untuk Meningkatkan Produktivitas Anda 2025-02-20 Tekno by admin Oke, berikut adalah konten artikel yang dioptimalkan SEO berdasarkan instruksi Anda: Preview Konten: Di era digital ini, ap... Read More →
Cara Mudah Unduh Video YouTube Tanpa Aplikasi: Praktis dan Cepat! 2025-02-20 Tekno by admin Baik, berikut adalah draf artikel yang dioptimalkan SEO dan berfokus pada unduh video Youtube tanpa aplikasi, disusun sesuai denga... Read More →
Mengasah Otak: Contoh Soal Olimpiade Matematika SD dan Pembahasannya 2025-02-20 edukasi by admin Baik, berikut adalah konten artikel yang dioptimalkan berdasarkan instruksi yang Anda berikan: Preview konten: Siap menguji kemampuan matema... Read More →
Panduan Lengkap Contoh Soal Bahasa Indonesia Kelas 2 SD untuk Belajar Efektif 2025-02-20 edukasi by admin Baik, berikut adalah konten artikel yang dioptimalkan berdasarkan instruksi yang diberikan: Preview Konten: Bingung mencari... Read More →
WhatsApp Versi 2.23.8.76: Unduh Sekarang dan Nikmati Fitur Terbarunya! 2025-02-20 Tekno by admin Oke, berikut adalah konten artikel yang dioptimalkan SEO berdasarkan instruksi yang diberikan: Ingin merasakan pengalaman WhatsApp yang lebi... Read More →
Memahami Angka Kematian Kasar: Contoh Soal dan Pembahasannya 2025-02-20 edukasi by admin Baik, berikut adalah konten artikel yang dioptimalkan SEO dan berfokus pada pembaca dengan kata kunci utama "contoh soal angka kematian kasar":... Read More →
Contoh Soal IPAS: Persiapan Ujian yang Efektif! 2025-02-20 edukasi by admin Oke, siap! Berikut adalah artikel tentang contoh soal IPAS yang dioptimalkan untuk SEO, dengan memperhatikan semua instruksi yang ... Read More →
Memahami Persentil: Definisi, Rumus, dan Contoh Soal Lengkap 2025-02-20 edukasi by admin Baik, berikut adalah konten artikel tentang contoh soal persentil, dioptimalkan untuk SEO dan pembaca, serta mengikuti instruksi y... Read More →
Memahami Peluang Kejadian Tidak Saling Lepas: Contoh Soal dan Pembahasan Lengkap 2025-02-20 edukasi by admin Baik, berikut adalah artikel yang dioptimalkan berdasarkan instruksi yang Anda berikan, dengan fokus pada contoh soal peluang kejadian tida... Read More →
Memahami Kuartil: Contoh Soal dan Pembahasan Lengkap 2025-02-20 edukasi by admin Baik, berikut adalah konten artikel yang dioptimalkan SEO sesuai dengan instruksi yang Anda berikan: Kuartil adalah salah satu konsep pentin... Read More →
Aplikasi ASIK: Panduan Lengkap untuk Pengalaman Terbaik Anda 2025-02-20 Tekno by admin Baik, berikut adalah konten artikel yang dioptimalkan SEO, dengan fokus pada kata kunci "aplikasi asik" dan mengikuti semua instruksi yang diberika... Read More →
Jangan Sampai Ketinggalan! Ini Dia Daftar Website Nonton Anime Terbaik dan Ter-Update! 2025-02-20 Anime by admin Oke, siap! Berikut adalah draf konten artikel tentang website nonton anime yang dioptimalkan untuk SEO dan pembaca, dengan mengikuti semua... Read More →
Memahami Gerbang Logika: Contoh Soal dan Pembahasan Lengkap 2025-02-20 edukasi by admin Oke, siap! Berikut adalah konten artikel yang dioptimalkan berdasarkan instruksi dan kata kunci yang Anda berikan: `markdown Read More →
Memahami Kalor dengan Mudah: Kumpulan Contoh Soal Kalor Kelas 7 Lengkap dengan Pembahasan 2025-02-20 edukasi by admin Baik, berikut adalah artikel tentang contoh soal kalor kelas 7 yang dioptimalkan untuk SEO dan pembaca, sesuai dengan instruksi ya... Read More →
Menguasai Conditional Sentence: Contoh Soal dan Pembahasan Lengkap 2025-02-20 edukasi by admin Oke, berikut adalah konten artikel yang dioptimalkan dengan mempertimbangkan semua instruksi yang Anda berikan: `markdown <... Read More →
Memahami dan Menaklukkan Contoh Soal Sudut Berpelurus: Panduan Lengkap 2025-02-20 edukasi by admin Oke, siap! Berikut adalah konten artikel yang dioptimalkan dengan mempertimbangkan semua instruksi yang Anda berikan: Preview Konten... Read More →
Scan Barcode Tanpa Aplikasi: Cara Mudah dan Cepat di Smartphone Anda 2025-02-20 Tekno by admin Oke, siap! Berikut adalah konten artikel yang dioptimalkan untuk SEO dengan fokus pada "scan barcode tanpa aplikasi" sesuai dengan instruksi Anda:<... Read More →
Kumpulan Contoh Soal Impuls dan Momentum: Panduan Lengkap dengan Pembahasan 2025-02-20 edukasi by admin Oke, berikut adalah konten artikel yang dioptimalkan SEO dengan fokus pada "contoh soal impuls dan momentum", disusun dalam format Markdown dan dit... Read More →
Memahami Integral Tentu: Kumpulan Contoh Soal dan Pembahasan Lengkap 2025-02-20 edukasi by admin Baik, berikut adalah konten artikel yang dioptimalkan dengan kata kunci "contoh soal integral tentu" berdasarkan instruksi yang diberikan: <... Read More →
Contoh Kartu Soal Kurikulum Merdeka: Panduan Lengkap dan Praktis 2025-02-20 edukasi by admin Baik, berikut adalah draf artikel dengan format Markdown yang dioptimalkan untuk SEO, berfokus pada kata kunci "contoh kartu soal kurikulum merdeka... Read More →
Kuasai Akuntansi Perusahaan Dagang dengan Contoh Soal dan Pembahasan Lengkap! 2025-02-20 edukasi by admin Oke, berikut adalah draf artikel dengan format Markdown yang dioptimalkan untuk SEO, berfokus pada kata kunci "contoh soal akuntansi perusahaan dag... Read More →
Menjelajahi Dunia Anime Echi: Antara Hiburan dan Kontroversi 2025-02-20 Anime by admin Oke, siap! Berikut adalah artikel tentang anime echi yang dioptimalkan SEO sesuai dengan instruksi yang Anda berikan: Preview: Read More →
Salah Satu Persamaan Antara Malaikat dan Jin Adalah Keduanya Sama-Sama Makhluk Ciptaan Allah SWT 2025-02-20 Edukasi by admin Oke, berikut adalah konten artikel yang dioptimalkan berdasarkan instruksi yang Anda berikan: `markdown Preview:... Read More →
Nonton Anime ID: Cara Mudah Nonton Streaming Anime Sub Indo TV Terbaru! 2025-02-20 Anime by admin Baik, berikut adalah konten artikel yang dioptimalkan dengan kata kunci "nonton anime id nonton streaming anime sub indo tv terbaru Read More →
Nilai Tukar Rupiah Dolar Amerika: Analisis Terkini dan Prediksi 2025-02-20 Game by admin Oke, berikut adalah konten artikel tentang nilai tukar Rupiah terhadap Dolar Amerika, dioptimalkan untuk SEO dan kemudahan dibaca: Read More →
Memahami SPLTV Lewat Soal Cerita: Contoh Soal dan Pembahasan Lengkap 2025-02-20 edukasi by admin Baik, berikut adalah konten artikel tentang contoh soal SPLTV cerita beserta jawabannya, dioptimalkan untuk SEO dan keterbacaan: Pre... Read More →
Taklukkan Persamaan Garis Lurus: Contoh Soal SMP Kelas 8 dan Pembahasannya! 2025-02-20 edukasi by admin Baik, mari kita buat konten artikel yang dioptimalkan SEO tentang contoh soal persamaan garis lurus SMP kelas 8 dengan format Mark... Read More →
Menguasai TOEFL: Contoh Soal dan Pembahasannya untuk Skor Impian 2025-02-20 edukasi by admin Baik, berikut adalah draft artikel dengan optimasi SEO sesuai dengan instruksi yang diberikan: Preview Konten: Ingin sukses... Read More →
Kumpulan Soal Ujian Sekolah Kimia Kelas 12 PDF: Latihan Terbaik untuk Sukses! 2025-02-20 Edukasi by admin Oke, berikut adalah konten artikel yang dioptimalkan SEO berdasarkan panduan yang Anda berikan: Preview: Persiapkan diri Anda menghadapi Uji... Read More →
Menguji Kemampuan Kognitif: Contoh Soal Tes IQ dan Pembahasannya 2025-02-20 edukasi by admin Baik, berikut adalah artikel yang dioptimalkan berdasarkan instruksi Anda: Apakah Anda penasaran dengan tingkat kecerdasan Anda? Atau sedang... Read More →
Nonton Anime Solo Leveling Season 1 Sub Indo: Petualangan Sung Jinwoo Dimulai! 2025-02-20 Anime by admin Oke, berikut adalah konten artikel tentang nonton anime Solo Leveling Season 1 sub Indo, dioptimalkan untuk SEO dan pembaca: Siap menyaksika... Read More →
Memahami Operator Perbandingan: Memeriksa Nilai Kebenaran dalam Pemrograman 2025-02-20 Tekno by admin Oke, berikut adalah draft konten artikel yang dioptimalkan SEO berdasarkan instruksi yang Anda berikan: `markdown Operat... Read More →
Cara Mudah Download Reels IG Tanpa Aplikasi: Panduan Lengkap 2025-02-20 Tekno by admin Baik, mari kita buat artikel yang dioptimalkan SEO tentang cara mengunduh Reels Instagram tanpa aplikasi. `markdown Reel... Read More →
Kuasai Microsoft Excel dengan Contoh Soal: Panduan Lengkap untuk Pemula hingga Mahir 2025-02-20 edukasi by admin Baik, inilah konten artikel yang dioptimalkan SEO berdasarkan permintaan Anda: Preview: Bingung dengan rumus Excel? Ingin m... Read More →
Rumus Luas Persegi: Panduan Lengkap & Mudah Dipahami 2025-02-20 edukasi by admin Oke, berikut adalah konten artikel yang dioptimalkan SEO tentang rumus luas persegi, disusun sesuai dengan panduan yang Anda berik... Read More →
Taklukkan Soal Matematika: Panduan Lengkap Menggunakan Pemecah Soal Matematika Modern 2025-02-20 edukasi by admin Baik, berikut adalah artikel tentang pemecah soal matematika yang dioptimalkan untuk SEO dan ditulis dalam bahasa Indonesia: Bingung dengan ... Read More →
Contoh Soal Hukum Perbandingan Volume: Panduan Lengkap dengan Pembahasan 2025-02-20 edukasi by admin Oke, mari kita buat artikel tentang contoh soal hukum perbandingan volume dengan mengikuti pedoman yang telah Anda berikan. Read More →
Menguasai Relasi dan Fungsi Kelas 8: Contoh Soal & Pembahasan Lengkap 2025-02-20 edukasi by admin Oke, berikut adalah konten artikel tentang contoh soal relasi dan fungsi kelas 8 yang dioptimalkan SEO sesuai dengan instruksi yang Anda berikan: Read More →
Memahami Tugas-Tugas Malaikat: Peran Mereka dalam Keyakinan dan Kehidupan 2025-02-20 Edukasi by admin Baik, berikut adalah draf artikel yang dioptimalkan berdasarkan instruksi yang Anda berikan: Preview konten: Malaikat, makhluk surgawi yang ... Read More →
Sukses Hadapi Tes P3K: Contoh Soal dan Strategi Jitu! 2025-02-20 edukasi by admin Oke, berikut adalah konten artikel yang dioptimalkan berdasarkan instruksi yang diberikan. Preview: Ingin lolos tes P3K? Ar... Read More →
Contoh Soal Numerik: Panduan Lengkap dengan Pembahasan dan Tips Sukses 2025-02-20 edukasi by admin Oke, siap! Berikut adalah artikel yang dioptimalkan berdasarkan instruksi dan kata kunci yang diberikan: Preview Konten: Bi... Read More →
Angga Jujur dalam Ujian: Bukti Iman Kepada Malaikat 2025-02-20 Edukasi by admin Baik, berikut adalah konten artikel yang Anda minta, dioptimalkan berdasarkan instruksi yang diberikan: Preview: Pernahkah ... Read More →
Persija Jakarta vs Persib Bandung: Lebih dari Sekadar Pertandingan Sepak Bola 2025-02-20 Game by admin Baik, berikut adalah konten artikel yang dioptimalkan berdasarkan instruksi yang Anda berikan: Pertandingan Persija Jakarta vs Persi... Read More →
Hailuo AI Kungfu: Revolusi Seni Bela Diri di Era Digital 2025-02-20 Game by admin Baik, ini dia artikel yang dioptimalkan untuk SEO dengan fokus pada kata kunci "hailuo ai kungfu": Preview: Apakah Anda per... Read More →
Panduan Lengkap: Contoh Soal Menghitung Tetesan Infus dan Cara Penyelesaiannya 2025-02-20 edukasi by admin Baik, berikut adalah konten artikel yang dioptimalkan SEO berdasarkan instruksi Anda: Pernahkah Anda kebingungan menghitung tetesan ... Read More →
Asiknya Belajar Perkalian! Kumpulan Contoh Soal Perkalian Kelas 2 SD 2025-02-20 edukasi by admin Baik, mari kita buat konten yang dioptimalkan SEO tentang contoh soal perkalian kelas 2 SD, sesuai dengan pedoman yang Anda berikan. <... Read More →
Aplikasi Lagu Terbaik: Streaming dan Download Musik Favoritmu 2025-02-20 Tekno by admin Baik, berikut adalah konten artikel yang dioptimalkan berdasarkan instruksi yang Anda berikan: `markdown Preview... Read More →
Memahami Perintah untuk Menggandakan Data: Panduan Lengkap 2025-02-20 Tekno by admin Oke, siap! Berikut adalah konten artikel yang dioptimalkan berdasarkan instruksi yang Anda berikan. Preview Konten: Pernahk... Read More →
Cara Uninstall Aplikasi di Laptop: Panduan Lengkap dan Mudah Dipahami 2025-02-20 Tekno by admin Baik, berikut adalah konten artikel yang dioptimalkan SEO sesuai dengan instruksi yang diberikan: Pernahkah Anda merasa laptop Anda semakin ... Read More →
Memahami dan Menguasai VLOOKUP dan HLOOKUP: Contoh Soal dan Pembahasan Lengkap 2025-02-20 edukasi by admin Oke, berikut adalah konten artikel yang dioptimasi SEO sesuai dengan instruksi Anda, dengan fokus pada contoh soal VLOOKUP dan HLOOKUP Read More →
Peran Jamur Aspergillus wentii dalam Pembuatan Oncom: Proses Fermentasi dan Manfaatnya 2025-02-20 Tekno by admin Baik, berikut adalah konten artikel yang dioptimalkan berdasarkan instruksi yang Anda berikan: Preview: Pernahkah Anda bertanya-tanya apa ya... Read More →
Memahami Keajaiban Bilangan Prima: Lebih dari Sekadar Angka 2025-02-20 edukasi by admin Baik, berikut adalah konten artikel tentang bilangan prima yang telah dioptimalkan berdasarkan instruksi yang diberikan: Preview Konten: Bil... Read More →
Kuasai Peluang! Contoh Soal Peluang Kelas 12 & Pembahasannya 2025-02-20 edukasi by admin Oke, siap! Berikut adalah konten artikel yang dioptimalkan sesuai dengan instruksi yang Anda berikan: `markdown ... Read More →
Latihan Soal Ujian Madrasah Sejarah Indonesia Kelas 12: Persiapan Terbaik Menuju Kelulusan 2025-02-20 Edukasi by admin Oke, berikut adalah konten artikel yang dioptimalkan SEO sesuai dengan instruksi yang diberikan. `markdown Previ... Read More →
Belajar Bangun Ruang Jadi Lebih Mudah dan Seru dengan Aplikasi Interaktif! 2025-02-20 Tekno by admin Oke, berikut adalah konten artikel yang dioptimalkan berdasarkan instruksi Anda, dengan fokus pada kata kunci utama: "aplikasi apa yang disebutkan ... Read More →
Panduan Lengkap: Memahami dan Menaklukkan Contoh Soal Procedure Text 2025-02-20 edukasi by admin Oke, berikut adalah draf konten artikel tentang "Contoh Soal Procedure Text" yang dioptimalkan untuk SEO dan pembaca: Preview: Read More →
Menguasai Hukum Newton 2: Contoh Soal dan Pembahasan Lengkap 2025-02-20 edukasi by admin Oke, siap! Berikut adalah artikel tentang contoh soal Hukum Newton 2, yang dioptimalkan untuk SEO dan kemudahan dibaca, sesuai dengan instruksi yan... Read More →
Contoh Soal Distribusi Normal: Panduan Lengkap dan Pembahasan 2025-02-20 edukasi by admin Oke, siap! Berikut adalah konten artikel tentang contoh soal distribusi normal, yang dioptimalkan untuk SEO dan dibaca oleh manusi... Read More →
Menghitung Kebutuhan Makanan: Jika 15 Kaleng Makanan Diperlukan 7 Orang Selama 2 Hari, Berapa yang Dibutuhkan untuk 4 Orang Selama 7 Hari? 2025-02-20 Edukasi by admin Oke, siap! Berikut adalah artikel yang dioptimalkan SEO berdasarkan permintaan Anda, disusun dalam format Markdown dengan bahasa Indonesia yang bai... Read More →
Free Fire MAX: Pengalaman Battle Royale Terbaik untuk Android? 2025-02-20 Game by admin Baik, berikut adalah konten artikel yang dioptimalkan untuk SEO dengan fokus pada kata kunci "Free Fire MAX," sesuai dengan instruksi yang Anda ber... Read More →
FF Advance Server: Cara Daftar, Mendapatkan Kode Aktivasi, dan Fitur Terbaru! 2025-02-20 Game by admin Oke, berikut adalah draf artikel tentang FF Advance Server yang dioptimalkan untuk SEO dan pembaca, dengan mempertimbangkan semua instruksi yang An... Read More →
Mengenang Gobang Preman Pensiun: Lebih dari Sekadar Sosok di Layar Kaca 2025-02-20 Game by admin Baik, berikut adalah konten artikel yang dioptimalkan berdasarkan instruksi yang Anda berikan: Preview: Kabar duka menyelim... Read More →
Menguasai Luas Jajar Genjang: Rumus dan Contoh Soal Lengkap! 2025-02-20 edukasi by admin Baik, berikut adalah konten artikel yang dioptimalkan berdasarkan instruksi yang Anda berikan: `markdown Jajar genjang a... Read More →
Aplikasi Download Lagu Terbaik: Nikmati Musik Favoritmu Kapan Saja, Di Mana Saja! 2025-02-20 Tekno by admin Baik, berikut adalah draft artikel tentang aplikasi download lagu, dioptimalkan sesuai dengan instruksi Anda: Preview: Bosa... Read More →
Memahami Kombinasi: Berapa Banyak Cara Memilih Pengurus OSIS? 2025-02-20 Edukasi by admin Oke, mari kita buat artikel yang dioptimalkan SEO dengan fokus pada kata kunci yang diberikan. `markdown Preview: Bingun... Read More →
Kumpulan Soal Ujian PJOK Kelas 6 Semester 2: Siap Hadapi Ujian! 2025-02-20 Edukasi by admin Baik, berikut adalah konten artikel yang dioptimalkan berdasarkan instruksi yang Anda berikan: Preview: Ingin sukses mengha... Read More →
Latihan Soal Ujian Sekolah Matematika Wajib Kelas 12 dan Pembahasannya: Raih Nilai Terbaik! 2025-02-20 Edukasi by admin Oke, siap! Berikut adalah konten artikel tentang soal ujian sekolah matematika wajib kelas 12 dan pembahasannya, dengan mempertimb... Read More →
Mengasah Kemampuan dengan Contoh Soal Bola: Panduan Lengkap dan Pembahasan 2025-02-20 edukasi by admin Oke, siap! Berikut adalah konten artikel tentang contoh soal bola yang dioptimalkan SEO, ramah pembaca, dan sesuai dengan instruks... Read More →
Memaksimalkan Pengalaman Anda dengan Aplikasi FB: Panduan Lengkap 2025-02-20 Tekno by admin Oke, siap! Berikut adalah konten artikel tentang aplikasi FB, dioptimalkan untuk SEO, ditulis dalam bahasa Indonesia yang baik dan... Read More →
Mengenal Dian Swastatika Sentosa: Raksasa Energi Indonesia 2025-02-20 Game by admin Baik, berikut adalah draft artikel yang dioptimalkan berdasarkan instruksi yang diberikan. `markdown Dian Swasta... Read More →
Persiapan Ujian Sekolah SMA: Kumpulan Contoh Soal Bahasa Indonesia 2025-02-20 Edukasi by admin Oke, berikut adalah konten artikel tentang contoh soal ujian sekolah SMA Bahasa Indonesia, yang telah dioptimalkan sesuai dengan i... Read More →
Cara Cek NIK KTP Penerima Bansos PKH: Panduan Lengkap dan Terbaru 2025-02-20 Game by admin Baik, berikut adalah konten artikel yang dioptimalkan berdasarkan instruksi Anda: Ingin tahu apakah Anda atau keluarga Anda terdaftar sebaga... Read More →
Memahami Gaya Lorentz: Contoh Soal dan Pembahasan Lengkap 2025-02-20 edukasi by admin Baik, berikut adalah draf artikel tentang contoh soal gaya Lorentz yang dioptimalkan untuk SEO dan pembaca: Preview... Read More →
Memahami Level Kognitif: Tingkatkan Pembelajaran dan Pemikiran Kritis 2025-02-20 edukasi by admin Baik, berikut adalah draft artikel yang Anda minta, dioptimalkan dengan mempertimbangkan semua instruksi yang diberikan: Preview: Read More →
Kuasai Matematika Dasar dengan Contoh Soal dan Pembahasan Lengkap! 2025-02-20 edukasi by admin Baik, berikut adalah konten artikel yang dioptimalkan berdasarkan instruksi yang diberikan: `markdown Matematika dasar s... Read More →
Memahami Energi Mekanik dengan Contoh Soal dan Pembahasan Lengkap 2025-02-20 edukasi by admin Baik, berikut adalah artikel yang dioptimalkan berdasarkan instruksi yang Anda berikan: `markdown Energi mekanik adalah ... Read More →
Panduan Memilih Aplikasi Chat Terbaik: Tingkatkan Komunikasi Anda 2025-02-20 Tekno by admin Oke, siap! Berikut adalah konten artikel tentang aplikasi chat yang dioptimalkan SEO, dengan fokus pada kualitas dan kemudahan pemahaman bagi pemba... Read More →
Sukses Ujian Sekolah Kelas 6: Latihan Soal dan Tips Jitu! 2025-02-20 Edukasi by admin Baik, berikut adalah konten artikel yang dioptimalkan berdasarkan instruksi yang Anda berikan: Preview: Siap hadapi Ujian S... Read More →
Persib Bandung: Sejarah, Prestasi, dan Kebanggaan Jawa Barat 2025-02-20 Game by admin `markdown Preview: Mari kita telusuri dunia Persib Bandung, klub sepak bola kebanggaan Jawa B... Read More →
Memahami Cermin Cekung: Contoh Soal dan Pembahasan Lengkap 2025-02-20 edukasi by admin Oke, berikut adalah konten artikel tentang contoh soal cermin cekung yang dioptimalkan untuk SEO, dengan mempertimbangkan semua in... Read More →
Menguasai Luas Permukaan Limas Segi Empat: Contoh Soal dan Pembahasan Lengkap 2025-02-20 edukasi by admin Baik, berikut adalah draf artikel dengan optimasi SEO berdasarkan instruksi yang Anda berikan: Bingung bagaimana cara menghitung luas permuk... Read More →
Petualangan Seru Tanpa Batas: Mengungkap Dunia Anime Adventure Terbaik 2025-02-20 Anime by admin Oke, siap! Berikut adalah konten artikel yang dioptimalkan SEO dan sesuai dengan instruksi yang Anda berikan. Preview: Siap... Read More →
Aplikasi Live Bar Bar Gratis: Panduan Lengkap dan Tips Aman 2025-02-20 Tekno by admin Oke, ini dia konten artikel yang Anda minta, dioptimalkan untuk SEO dan berfokus pada pengalaman pengguna: Preview Konten: ... Read More →
Aplikasi Slot 888: Panduan Lengkap untuk Penggemar Slot Online 2025-02-20 Tekno by admin Oke, siap! Berikut adalah konten artikel yang dioptimalkan dengan memperhatikan semua instruksi yang Anda berikan: Preview:... Read More →
Aplikasi Dapodik 2025: Apa yang Baru dan Penting untuk Diketahui 2025-02-20 Tekno by admin Oke, berikut adalah konten artikel yang dioptimalkan dengan mempertimbangkan semua instruksi yang Anda berikan: Aplikasi Dapodik (Data Pokok... Read More →
Memahami Konsep Titik Berat: Definisi, Rumus, dan Contoh Soal 2025-02-20 edukasi by admin Oke, siap! Berikut adalah konten artikel yang dioptimalkan SEO berdasarkan arahan Anda: `markdown Siap menguasai konsep ... Read More →
Menguasai Rumus Jajar Genjang: Panduan Lengkap dan Mudah Dipahami 2025-02-20 edukasi by admin Oke, berikut adalah konten artikel tentang rumus jajar genjang yang dioptimalkan untuk SEO dan pembaca, sesuai dengan instruksi An... Read More →
Kumpulan Contoh Soal Daya Kelas 8: Tingkatkan Pemahaman Fisikamu! 2025-02-20 edukasi by admin Oke, siap! Berikut adalah konten artikel tentang contoh soal daya kelas 8 yang dioptimalkan berdasarkan instruksi Anda: `markdo... Read More →
Aplikasi Sehat Indonesiaku: Pantau Kesehatanmu dalam Genggaman 2025-02-20 Tekno by admin Oke, berikut adalah konten artikel yang dioptimalkan SEO tentang Aplikasi Sehat Indonesiaku, sesuai dengan instruksi yang Anda ber... Read More →
Memahami Alam Semesta: Jalan Menuju Kesejahteraan Manusia Sebagai Khalifah di Bumi 2025-02-20 Edukasi by admin Oke, berikut adalah draf artikel yang dioptimalkan dengan mempertimbangkan semua instruksi yang Anda berikan: `markdown ... Read More →
Temukan Code Anime Vanguards Terlengkap: Panduan untuk Penggemar! 2025-02-20 Anime by admin Oke, siap! Berikut adalah konten artikel yang Anda minta, dioptimalkan sesuai dengan instruksi yang Anda berikan: `markdown... Read More →
Aplikasi Translate Inggris-Indonesia Terbaik untuk Memudahkan Komunikasi Anda 2025-02-20 Tekno by admin Oke, berikut adalah konten artikel yang dioptimalkan dengan kata kunci "aplikasi translate inggris-indonesia" sesuai dengan instruksi yang Anda ber... Read More →
Memahami Medan Listrik: Konsep dan Contoh Soal Lengkap 2025-02-20 edukasi by admin Baik, berikut adalah konten artikel yang dioptimalkan berdasarkan instruksi yang diberikan: `markdown Preview: Read More →
Persiapan Sukses: Kumpulan Soal Ujian P3K Terlengkap dan Terbaru 2025-02-20 Edukasi by admin Baik, berikut adalah konten artikel yang dioptimalkan berdasarkan instruksi Anda: Preview: Siap menghadapi soal ujian P... Read More →
Kisi-Kisi Soal Ujian Matematika Kelas 6 dan Kunci Jawaban: Latihan Sukses UN! 2025-02-20 Edukasi by admin Oke, siap! Berikut adalah konten artikel yang dioptimalkan berdasarkan instruksi yang Anda berikan: Preview: Apakah Anda se... Read More →
Contoh Soal Statistika Kelas 12: Panduan Lengkap dan Mudah Dipahami 2025-02-20 edukasi by admin Oke, siap! Berikut adalah konten artikel yang Anda minta, dioptimalkan untuk SEO dan pembaca: `markdown Statistika adala... Read More →
Menguasai Hukum Pascal: Contoh Soal dan Pembahasannya 2025-02-20 edukasi by admin Oke, siap! Berikut adalah konten artikel yang dioptimalkan dengan mempertimbangkan semua instruksi di atas: `markdown Pr... Read More →
Memahami Laju Reaksi: Kumpulan Contoh Soal dan Pembahasan Lengkap 2025-02-20 edukasi by admin Oke, berikut adalah artikel tentang contoh soal laju reaksi yang dioptimalkan untuk SEO dan pembaca, mengikuti semua instruksi yang Anda berikan: Read More →
GoTube: Nonton Video Tanpa Iklan yang Mengganggu? Ini Ulasan Lengkapnya! 2025-02-20 Tekno by admin Oke, berikut adalah draf artikel tentang aplikasi GoTube, dioptimalkan sesuai dengan instruksi yang diberikan: Ingin menikmati video favorit... Read More →
Menguasai Perbandingan: Contoh Soal Perbandingan Kelas 6 yang Mudah Dipahami 2025-02-20 edukasi by admin Baik, berikut adalah konten artikel yang dioptimalkan untuk SEO dengan fokus pada kata kunci "contoh soal perbandingan kelas 6", menggunakan pandua... Read More →
Memahami Rumus Persegi Panjang: Panduan Lengkap dan Mudah Dimengerti 2025-02-20 edukasi by admin Baik, mari kita buat artikel yang dioptimalkan SEO tentang rumus persegi panjang. `markdown Preview: Pe... Read More →
Panduan Lengkap Menggunakan Google Form: Membuat Survei, Kuis, dan Lainnya dengan Mudah 2025-02-20 Edukasi by admin Oke, ini dia draf artikel tentang Google Form yang dioptimalkan untuk SEO, mudah dibaca, dan informatif: Preview: G... Read More →
Sukses Ujian Kelas 6 Matematika: Kumpulan Soal dan Pembahasan Lengkap! 2025-02-20 Edukasi by admin Oke, siap! Berikut adalah konten artikel yang dioptimalkan berdasarkan permintaan Anda: `markdown Preview Konten... Read More →
Kumpulan Soal Ujian PJOK Kelas 12 Semester 2: Siap Raih Nilai Terbaik! 2025-02-20 Edukasi by admin Baik, mari kita buat konten artikel yang dioptimalkan SEO tentang soal ujian PJOK kelas 12 semester 2 dengan mengikuti semua pedom... Read More →
Nonton Anime Gratis: Panduan Lengkap dan Aman di Tahun 2024 2025-02-20 Anime by admin Oke, siap! Berikut adalah konten artikel yang dioptimalkan dengan semua instruksi yang Anda berikan: `markdown M... Read More →
Sifat Malaikat yang Membedakannya dengan Manusia: Memahami Perbedaan Fundamental 2025-02-20 Edukasi by admin Baik, berikut adalah konten artikel yang dioptimalkan dengan kata kunci "sifat malaikat yang membedakannya dengan manusia adalah" dalam format Mark... Read More →
Mengupas Tuntas Fenomena Anime Kompi: Kenapa Begitu Digemari? 2025-02-20 Anime by admin Baik, berikut adalah draf konten artikel yang dioptimalkan untuk SEO berdasarkan instruksi yang Anda berikan. `markdown ... Read More →
Memantau Pergerakan Kurs Dollar USD ke Rupiah Hari Ini: Informasi Terkini dan Analisis Mendalam 2025-02-20 Game by admin Oke, berikut adalah draf konten artikel yang dioptimalkan SEO berdasarkan pedoman yang Anda berikan: `markdown P... Read More →
Memahami Jajar Genjang: Contoh Soal dan Pembahasan Lengkap 2025-02-20 edukasi by admin Baik, berikut adalah konten artikel tentang contoh soal jajar genjang yang dioptimalkan SEO sesuai dengan instruksi yang Anda beri... Read More →
Contoh Soal Gaya Lorentz Kelas 9: Panduan Lengkap dan Mudah Dipahami 2025-02-20 edukasi by admin Oke, berikut adalah konten artikel yang dioptimalkan untuk SEO, dengan fokus pada kata kunci "contoh soal gaya lorentz kelas 9", menggunakan format... Read More →
Contoh Soal Relativitas Massa: Panduan Lengkap dan Pembahasan 2025-02-20 edukasi by admin Oke, siap! Berikut adalah konten artikel yang dioptimalkan berdasarkan instruksi yang Anda berikan: Preview: Bingung dengan... Read More →
Contoh Soal OSN IPS SMP: Kiat Sukses Raih Medali 2025-02-20 edukasi by admin Baik, mari kita susun konten artikel tentang contoh soal OSN IPS SMP yang dioptimalkan untuk SEO dan ramah pembaca. Read More →
Kumpulan Soal Ujian Sekolah Matematika Kelas 9 PDF: Persiapan Terbaik Raih Nilai Tinggi! 2025-02-20 Edukasi by admin Baik, berikut adalah konten artikel yang dioptimalkan SEO berdasarkan instruksi yang Anda berikan: `markdown Preview: Bu... Read More →
Sukses Ujian Nasional Kelas 6: Kumpulan Contoh Soal dan Tips Jitu! 2025-02-20 Edukasi by admin Oke, siap! Berikut adalah konten artikel yang dioptimalkan SEO berdasarkan instruksi dan kata kunci yang diberikan: Siap menghadapi Ujian Na... Read More →
Menjelajahi Dunia Bstation Anime: Surga Para Pecinta Animasi 2025-02-20 Anime by admin Oke, siap! Berikut adalah konten artikel yang Anda minta, dioptimalkan untuk SEO dan kemudahan dibaca, serta mengikuti semua instruksi yang Anda be... Read More →
Membedah Paito Warna SGP Angkanet: Aplikasi Togel Andal dan Akurat? 2025-02-20 Tekno by admin Baik, berikut adalah draf artikel yang dioptimalkan berdasarkan instruksi Anda: (Preview): Bingung memilih angka jitu untuk... Read More →
Cara Mudah dan Aman Menggunakan Aplikasi YouTube MP3 Download di Tahun 2024 2025-02-20 Tekno by admin Oke, mari kita buat konten artikel tentang aplikasi YouTube MP3 download yang SEO-friendly dan berkualitas: `m... Read More →
Jelajahi Fitur Terbaru dan Cara Memaksimalkan Pengalaman dengan Aplikasi YouTube Terbaru 2025-02-20 Tekno by admin Baik, berikut adalah konten artikel yang dioptimalkan berdasarkan instruksi yang Anda berikan: Preview: Ingin tahu apa saja... Read More →
Cara Mudah dan Aman Download Aplikasi YouTube Terbaru di 2024 2025-02-20 Tekno by admin Oke, siap! Berikut adalah konten artikel yang dioptimalkan sesuai dengan permintaan Anda: (Preview Konten) Ingin menikmati ... Read More →
Dapatkan Item Eksklusif Gratis! Inilah Kode Redeem Free Fire Terbaru 2025-02-20 Game by admin Oke, berikut adalah draft artikel tentang Redeem Code Free Fire yang dioptimalkan untuk SEO dan pembaca: (Preview konten: I... Read More →
Kode Redeem FF SG2 Terbaru Hari Ini: Buruan Klaim Hadiah Spesial! 2025-02-20 Game by admin Baik, berikut adalah draf artikel tentang kode redeem FF SG2 yang dioptimalkan sesuai instruksi Anda: Preview Konten: Read More →
Kode Redeem FF yang Masih Aktif Hari Ini: Klaim Hadiahmu Sekarang! 2025-02-20 Game by admin Baik, berikut adalah konten artikel yang dioptimalkan berdasarkan instruksi yang Anda berikan: Dapatkan kode redeem FF yang masi... Read More →
Mencari Pengecer Gas Elpiji 3 Kg Terdekat? Ini Panduan Lengkapnya! 2025-02-20 Game by admin Oke, berikut adalah konten artikel tentang pengecer gas elpiji 3 kg, dioptimalkan untuk SEO dan pembaca: `markdown Read More →
Latihan dan Pembahasan: Contoh Soal UKBI untuk Persiapan Ujianmu 2025-02-20 edukasi by admin Preview Konten: Siap menghadapi Ujian Kemampuan Bahasa Indonesia (UKBI)? Artikel ini akan membantumu! Temukan contoh soal ... Read More →